Практическая работа "Линейные операции с матрицами"

Тест создан 4 октября 2023 г., автор БЕН.
В данном тесте предложены задания, которые Вы должны выполнить после изучения лекционного материала. Перед выбором верного ответа внимательно причитайте задание.
Тест «Практическая работа "Линейные операции с матрицами"» состоит из 5 вопросов, был пройден 89 раз.
...
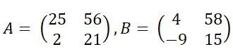
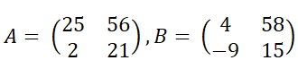
Выполните сложение матриц. Запишите в ответ сумму всех элементов в получившейся матрице




...
Выполните разность матриц. Выберите из вариантов ответов элемент из первой строки и второго столбца.




...
Выпишите первый столбец противоположной матрицы для матрицы А




...
При умножении матрицы А на число 4 выберите верный ответ, на сколько элемент новой матрицы первой строки второго столбца меньше элемента новой матрицы второй строки первого столбца




...
Выполните сложение матриц и если перемножить все элементы получившейся матрицы по главной диагонали, то результат равен