Тест "Определитель"

Тест создан 15 октября 2023 г., автор БЕН.
Данный тест направлен на повторение первичных знаний по теме "Определитель".
После прохождения теста Вы увидите оценку.
Тест "Определитель" состоит из 5 вопросов, был пройден 131 раз.
...
Определитель - это



...
Чем отличается матрица от определителя?



...
Один из символов обозначения определителя является:



...
Данную схему называют правилом



...
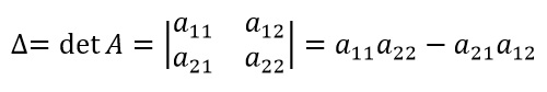
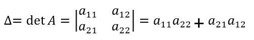
Выберите не верный ответ