ТЕСТ "ВЫЧИСЛЕНИЕ ОПРЕДЕЛИТЕЛЯ"

Тест создан 3 ноября 2023 г., автор БЕН.
Данный тест является проверочной работой по теме "Определитель".
Инструкция: внимательно прочтите задание и выберите верный ответ.
Критерии оценивания:
оценка 2, если верно 2 задания
оценка 3, если верно 3 задания
оценка 4, если верно 4 задания
оценка 5, если верно 5 заданий
ТЕСТ "ВЫЧИСЛЕНИЕ ОПРЕДЕЛИТЕЛЯ" состоит из 5 вопросов, был пройден 97 раз.
...
Вычислите определитель. От полученного результата вычтите 2.




...
Вычислите определитель. Полученный результат возведите в третью степень




...
Вычислите определитель. Найдите арккосинус результата




...
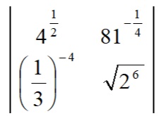
Вычислите определитель.




...
Решите уравнение и найдите произведение полученных корней.