Практическая работа "Нелинейные операции с матрицами"

Тест создан 9 октября 2024 г., автор БЕН.
Повторите конспект перед прохождением теста.
3 верно отвеченных вопроса -"3"
4 верно отвеченных вопроса -"4"
5 верно отвеченных вопроса -"5"
Тест «Практическая работа "Нелинейные операции с матрицами"» состоит из 5 вопросов, был пройден 149 раз.
...
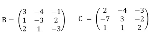
Даны матрицы B и C, найдите матрицу A = B*C. Выберите верные ответы









...
По заданию №1. Вычислите произведение элементов первой строки:



...
По заданию № 1. Вычислите сумму элементов второй строки:




...
По заданию № 1. Вычислите разность элементов третьей строки:



...
По заданию № 1. Вычислите