Опрос по теме "СЛАУ. Основные понятия"

Тест создан 7 ноября 2024 г., автор Алёна Викторовна.
В поле "имя не обязательно" укажите свою фамилию. Если это условие не выполняется, оценка не будет учтена.
Успешного прохождения опроса!
Тест «Опрос по теме "СЛАУ. Основные понятия"» состоит из 9 вопросов, был пройден 122 раза.
...
Что можно отнести к элементарным преобразованиям со строками над расширенной матрицы системы линейных алгебраических уравнений?



...
Как называется система линейных алгебраических уравнений, у которой нет решений?






...
Как проверить совокупность трех значений С1, С2, С3, являются ли они решениями системы линейных алгебраических уравнений?



...
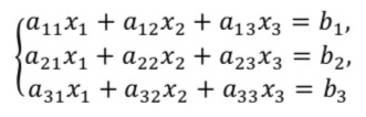
Как называется система из трёх линейных алгебраических уравнений с тремя неизвестными вида






...
Как называется матрица составленная из коэффициентов при неизвестных величинах и всех свободных членов системы линейных алгебраических уравнений?



...
Как называется система линейных алгебраических уравнений, у которой существует единственное решение?






...
Как называется неоднородная система линейных алгебраических уравнений, у которой все свободные члены равны нулю?



...
Как называется матрица составленная из коэффициентов при неизвестных величинах системы линейных алгебраических уравнений?






...
Как называется теорема позволяющая доказать совместность системы линейных алгебраических уравнений?






Комментарии