Языки программирования

Тест создан 4 марта 2013 г., автор Олеся Снежко.
Решение тестового задания происходит путем выбора правильных ответов из предлагаемого меню. Число вариантов ответов в разных заданиях варьируется от трех до пяти. Все тестовые задания проранжированы по двум уровням сложности. Во всех заданиях 1-го уровня сложности имеется только один правильный вариант ответа. Для некоторых заданий 2-го уровня сложности полный ответ может включать в себя одновременно несколько вариантов. Задание считается выполненным только при указании всех вариантов ответа.
Тест «Языки программирования» состоит из 13 вопросов, был пройден 1751 раз.
...
В программе на языке Паскаль




...
Какие из перечисленных идентификаторов (имен переменных) записаны с ошибкой? (выберите наиболее полный ответ)
(A) FIRST
(B) b12
(C) 5five
(D) бета
(E) z312
(F) a&b




...
Определить тип синтаксической ошибки в программе на языке Паскаль





...
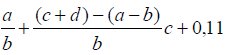
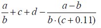
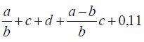
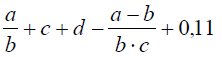
Выражение a/b + (c+d)-(a-b)/b/c+0.11, записанное на языке Паскаль, математически может быть записано как




...
Три из приведенных ниже арифметических выражений соответствуют одной и той же формуле, а одно – другой формуле. Найдите это «лишнее» выражение.




...
Вычислите значение выражения, записанного на языке программирования Паскаль:
24 / (3 * 4) – 24 / 3 / 4 + 24 / 3 * 4




...
Укажите тип синтаксической ошибки, имеющейся в данной программе на Паскале:




...
При описании переменной в программе на языке программирования на Паскаль указывается




...
Дан фрагмент программы на языке Паскаль. Сколько раз выполнится тело цикла?





...
Дан оператор цикла на языке Паскаль:





...
Дан фрагмент программы, написанной на языке программирования Паскаль:





...
Выбрать фрагмент программы на языке программирования Паскаль, в котором вычисляется значение функции





...
Какой из приведенных ниже операторов, записанных на языке программирования Паскаль позволяет проверить, принадлежит ли точка с координатами (XP,YP) прямоугольнику, ограниченному координатными осями и прямыми X=5 и Y=1.




Комментарии