Законы электростатики

Тест создан 13 октября 2015 г., автор Иван.
Тест по физике «Законы электростатики»: закон сохранения заряда, закон Кулона. Электрические явления, формулы и задачи.
Тест «Законы электростатики» состоит из 6 вопросов, был пройден 190 раз.
...
Расстояние между двумя точечными электрическими зарядами увеличили в 3 раза, а один из зарядов уменьшили в 3 раза. Сила электромагнитного взаимодействия между ними...




...
Какая из формул выражает закон сохранения заряда?




...
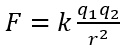
Какая формула выражает закон Кулона?




...
Когда мы снимаем одежду, особенно изготовленную из синтетических материалов, мы слышим характерный треск. Какое явление объясняет этот треск?




...
При трении пластмассовой линейки о шерсть линейка заряжается отрицательно. Это объясняется тем, что...




...
С какой силой взаимодействуют две капли воды на расстоянии 20 см, если заряд одной капли 0,000000009 Кл, а заряд другой 0,000000004 Кл?




Комментарии