Банк Тестов
Регистрация
Создать тест
Как создавать свои тесты
Доступность
Шрифт
а
а
а
Контраст
Выкл
Вкл
Тема
Светлая
Тёмная
Вид по-умолчанию
Забыли?
Регистрация
Запомнить
Разделы:
IQ
Астрологические
Для девушек
Для детей
Для друзей
Для мужчин
Корпоративные
На здоровье
Образовательные
По фильмам, книгам и играм
Прикольные
Профессиональные
Психологические
Развлекательные
Разное
Шуточные
Новые тесты
Architecture Glossary
Тест по Биологии 6 класс (п.4 Пасечник)
Количество вещества. Моль. Число Авогадро.Молярная масса.
Витамины и их значение.
СОЧ по Всемирной истории. 10 класс (ОГН)
СОЧ по Всемирной истории за 1 четверть. 11 класс.
музыкальные термины 2 класс
Проверка умений вычисления по теме "Среднее арифметическое". Математика для 6-го класса
Строение и функции пищеварительной системы
Анализ исторического события России
угадай футболиста по тиммейтам
7 класс. «3D-моделирование, прототипирование, макетирование». Создание объемных моделей.
Сравнение активности металлов
Формулы веществ и уравнения химических реакций.
Моделирование. Иванова Катя
Тест создан
9 декабря 2016 г.
, автор
Елена Бобылева
.
Тест «Моделирование. Иванова Катя» состоит из
15
вопросов, был пройден 11 раз.
Вы можете указать свое имя:
...
Модель это- ...
некоторое упрощенное подобие реального объекта, который отражает существенные особенности изучаемого реального объекта, явления или процесса
некоторая часть окружающего мира, рассматриваемого человеком как единое целое
условие существование объекта
действие, изменяющее свойство объекта
...
Кто предложил модель, согласно которой скорость роста пропорциональна текущему размеру популяции,то есть описывается дифференциальным уравнением: x'=ax
Алан Тьюринг
Дж. Дж. Томсон
Чарльз Бэббидж
Томас Роберт Мальтус
...
процесс построения информационных моделей с помощью формальных языков - это...
Моделирование
Формализация
Операция
Система
...
Процесс построения модели, как правило, предполагает:
выделение не более трех существенных признаков объекта
выделение наиболее существенных с точки зрения решаемой задачи свойств объекта
информацию о несущественных свойствах объекта.
описание всех свойств исследуемого объекта
...
Компьютерное имитационное моделирование ядерного взрыва НЕ позволяет:
экспериментально проверить влияние высокой температуры и облучения на природные объекты
уменьшить стоимость исследований и обеспечить безопасность людей
получить достоверные данные о влиянии взрыва на здоровье людей
провести натурное исследование процессов, протекающих в природе в процессе взрыва и после взрыва
...
К математической модели относится:
фотография на паспорте
формула нахождения корней квадратного уравнения
химическое уравнение
формула Герона
Ответить
...
К видам моделей по характеристике объекта моделирования относятся:
Модель внешнего вида
Имитационные
Модель структуры
Познавательные
Неформализованные
Ответить
...
К видам моделей по роли управления объектом моделирования:
Коммуникативные
Статические
регистрирующие
Эталонные
Познавательные
Ответить
...
К видам моделей по сущности относится:
Идеальные (воображаемые)
Вещественно - энергетические (натурные)
Частично формализованные
Динамические
Ответить
...
К видам моделей по сферам деятельности субъекта моделирования относятся:
Модель внешнего вида
Познавательные
Оптимизационные
Информационные
Коммуникативные
Ответить
...
К какому виду моделей относится данная модель?
Экономическая
Игровая
Математическая
Социальная
...
Моделью чего служит изображенная на картинке модель?
звездного неба
экрана планетария
Солнца
Земли
...
Моделью чего является данная модель?
Солнца
Шара
Земли
Глобуса
...
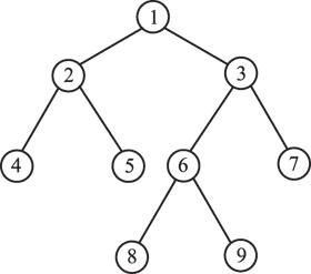
Как называется данная модель?
графовая
теоретико – множественная
Функциональная
Игровая
...
Как называется данная модель?
лингвистическая
иерархическая
графовая
геометрическая
Готово! Нажмите кнопку «Результат».
Результат
2
Главная
Образовательные тесты
Похожие тесты:
Виды моделей
Технологии информационного моделирования
Информатика и ИКТ (специальность «Информатика»)
Комментарии