Банк Тестов
Регистрация
Создать тест
Как создавать свои тесты
Доступность
Шрифт
а
а
а
Контраст
Выкл
Вкл
Тема
Светлая
Тёмная
Вид по-умолчанию
Забыли?
Регистрация
Запомнить
Разделы:
IQ
Астрологические
Для девушек
Для детей
Для друзей
Для мужчин
Корпоративные
На здоровье
Образовательные
По фильмам, книгам и играм
Прикольные
Профессиональные
Психологические
Развлекательные
Разное
Шуточные
Функции нескольких переменных
Тест создан
28 сентября 2017 г.
, автор
asia1236
.
Тест «Функции нескольких переменных» состоит из
10
вопросов, был пройден 2289 раз.
Вы можете указать свое имя:
...
Областью определения функции двух переменных z=f(x,y) называется
вся координатная плоскость XoY
закон, по которому каждой паре значений (х, y) соответствует значение зависимой переменной .
множество всех пар (x, y), для которых существует значение z.
...
Сколько переменных в функции u=sin x + cos 2y - z
3
2
1
4
...
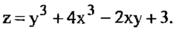
Найдите частную производную заданной ниже функции по x
3y^2+12x^2-2
3y^2-2x
12x^2-2y
...
Частная производная какого порядка найдена ниже
1
3
2
...
Графиком функции двух переменных является
линия
поверхность
...
Найти область определения функции
вся координатная плоскость кроме точек, принадлежащих прямой y=-2/3
полуплоскость y>=-2/3
полуплоскость y<=-2/3
полуплоскость y>-2/3
...
Частной производной функции нескольких переменных называется:
производная от частного аргументов функции;
производная от произведения аргументов функции;
производная от логарифма частного аргументов функции;
производная от функции при условии, что все аргументы кроме одного остаются постоянными;
...
Производной второго порядка называется:
квадрат производной первого порядка;
производная от производной первого порядка;
корень квадратный от производной первого порядка;
первообразная производной первого порядка.
...
Полным дифференциалом функции нескольких переменных называется:
главная линейная часть приращения функции при изменении логарифма одного из аргументов;
главная линейная часть приращения функции при изменении всех аргументов;
приращения функции при изменении всех аргументов.
главная линейная часть приращения функции при изменении логарифма одного из аргументов;
...
Точки, в которых все частные производные функции равны нулю, называются
стационарными
максимумом функции
минимумом функции
Готово! Нажмите кнопку «Результат».
Результат
2
Главная
Образовательные тесты
По математике
Похожие тесты:
Линейная функция
Геометрический смысл производной
Линейная функция и ее график
Комментарии