Конические сечения и их свойства

Тест создан 16 декабря 2017 г., автор Екатерина.
Конические сечения - это геометрические фигуры, которые возникают при пересечении конуса плоскостью при некоторых условиях. Конические сечения включают в себя окружность, эллипс, параболу и гиперболу. Задания на знание терминологии, уравнений и свойств конических сечений.
Тест «Конические сечения и их свойства» состоит из 12 вопросов, был пройден 29 раз. Это тест «с ответами»: после его прохождения можно посмотреть правильные ответы и узнать свои ошибки.
...
Коническое сечение- это:



...
Эллипс - это множество всех точек плоскости,...



...
Гипербола - это:



...
Парабола - это:



...
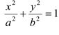
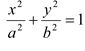
Каноническое уравнение эллипса имеет вид:



...
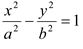
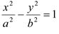
Каноническое уравнение гиперболы имеет вид:



...
Прямая, касающаяся эллипса в некоторой точке М, составляет:



...
Если источник света находится в одном из фокусов эллиптического зеркала, то лучи его, отразившись от зеркала, собираются:



...
Если источник света находится в фокусе параболического зеркала, то лучи его, отразившись от зеркала, идут:



...
Если источник света находится в одном из фокусов гиперболического зеркала, то лучи его, отразившись от зеркала:



...
Оптическое свойство параболы применяется в качестве:



...
Оптическое свойство эллипса применяется в качестве:



Комментарии