Вариант Всероссийской проверочной работы (ВПР ) №1

Тест создан 20 марта 2018 г., автор Петровна.
Привет, опубликован новый демонстрационный вариант ВПР. Необходимо решить, пишем 18 апреля этого года.
Отсутствует одно задание на построение ( симметричная фигура относительно прямой) на 1 балл. Всего 16 баллов.
Тест «Вариант Всероссийской проверочной работы (ВПР ) №1» состоит из 12 вопросов, был пройден 142 раза.
...
Вычислите
-4*(36-98)




...
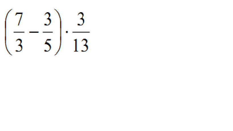
Вычислите ( см. рисунок)




...
Число уменьшили на треть, и получили 180. Найдите исходное число




...
На рисунке изображены автобус и автомобиль. Длина автобуса 10,5 метров. Какова длина автомобиля?




...
Вычислите
2,73-0,8*2,6




...
На диаграмме показано количество оценок за неделю, полученных Алисой, Севой и Веней. По вертикальной оси указано количество оценок. Сколько оценок за неделю получили Алиса, Сева и Веня?




...
Найдите значение выражения: 5*х-3*|y+2|, при х=-2, y=-4




...
На координатной прямой отмечены точки А,В, С. Установите соответствие между точками и их координатами ( см. рисунок)




...
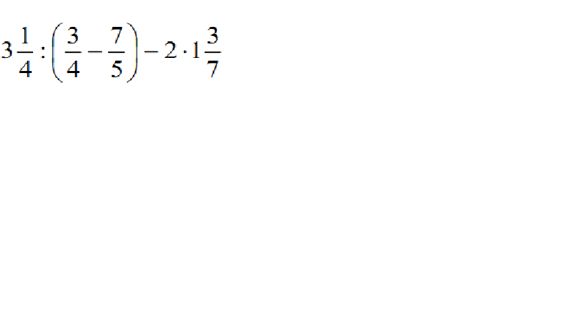
Вычислите ( см. рисунок)




...
В рыбном прилавке на витрине лежат подряд 4 карпа, 3 окуня,2 лосося и 5 селёдок
1) лососей ровно в два раза меньше, чем селёдок.
2) карпы лежат между окунями и селёдкой.
3) придя в магазин покупатель сможет приобрести 2 набора, состоящих из 2 окуней и 1 лосося.
4) придя в магазин, покупатель сможет приобрести 2 набора, состоящих из 2 карпов и 1 лосося.
Выберите верные утверждения и запишите их номера




...
В мае билеты на самолет до Москвы стоили 17000. В июне цены выросли на 20%. Какова цена билета на самолет в июле?




...
На суде каждый из троих подсудимых обвинял одного из двух других.Оказалось, что первый был единственным, кто говорил правду. Если бы каждый стал обвинять другого из них ( но не себя), то второй был бы едиснтвенным, кто сказал правду. Кто виновен?




Комментарии