Конические сечения

Тест создан 6 июня 2018 г., автор Катя.
Тест содержит 16 вопросов. Необходимо из предлагаемых вариантов выбрать один верный.
Тест «Конические сечения» состоит из 16 вопросов, был пройден 19 раз.
...
Коническое сечение - это



...
Эллипс - это множество всех точек плоскости



...
Гипербола - это



...
Парабола - это



...
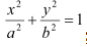
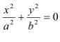
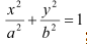
Каноническое уравнение эллипса имеет вид:



...
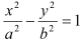
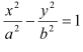
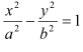
Каноническое уравнение гиперболы имеет вид:



...
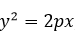
Каноническое уравнение параболы имеет вид:



...
Прямая, касающаяся эллипса в некоторой точке М, составляет:



...
Если источник света находится в одном из фокусов эллиптического зеркала, то лучи его, отразившись от зеркала, собираются:



...
Если источник света находится в фокусе параболического зеркала, то лучи его, отразившись от зеркала, идут:



...
Если источник света находится в одном из фокусов гиперболического зеркала, то лучи его, отразившись от зеркала:



...
Оптическое свойство параболы применяется в качестве:



...
Оптическое свойство эллипса применяется в качестве:



...
Какая фигура получится в результате пересечения конуса плоскостью, параллельной двум образующим?



...
Эксцентриситет параболы...



...
Касательная к кривой есть...



Комментарии