Измерение отрезков ( 7 класс - все равно - зачет!!!)

Тест создан 17 сентября 2018 г., автор Петровна.
повторить понятие “отрезок”, “измерение отрезков”, “длина отрезка”; научить находить длину отрезка по данным длинам отрезков его составляющих и находить длину отрезка по данной длине большего отрезка и каких-то его частей;
Тест «Измерение отрезков ( 7 класс - все равно - зачет!!!)» состоит из 10 вопросов, был пройден 281 раз.
...
Измерение отрезков основано на сравнении их с некоторым отрезком, принятым за ... .




...
Когда точка делит отрезок на два отрезка, длина всего отрезка равна ... длин этих двух отрезков.




...
Какая из перечисленных единиц измерения является стандартной международной единицей измерения отрезков




...
Выберите инструменты, которые используются для измерения расстояний.




...
На отрезке АВ = 15,7 см отмечена точка С. Чему равна длина отрезка АС, если отрезок ВС = 6,5 см?





...
Найдите длину отрезка KL, если известно, что KN = 26 см, MN = 8 см.




...
Чему равна длина отрезка АС, если АВ = 4,3 дм?




...
Длина отрезка АС равна 20 см. Найдите длину отрезка ВС, если АВ = 3ВС.




...
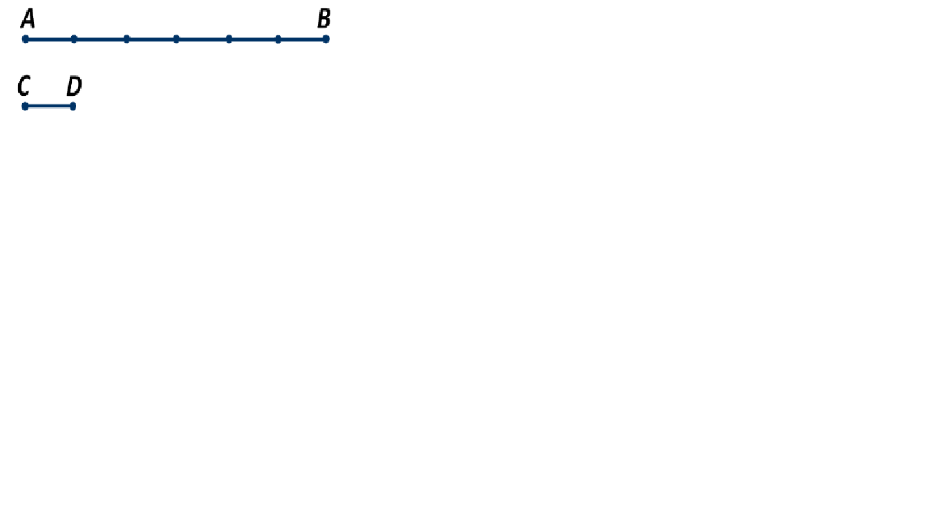
Найдите длину отрезка АВ, если за единицу измерения принят отрезок CD




...
Отрезок АВ равен 37 см. Какова его длина в дециметрах?




Комментарии