Банк Тестов
Регистрация
Создать тест
Как создавать свои тесты
Доступность
Шрифт
а
а
а
Контраст
Выкл
Вкл
Тема
Светлая
Тёмная
Вид по-умолчанию
Забыли?
Регистрация
Запомнить
Разделы:
IQ
Астрологические
Для девушек
Для детей
Для друзей
Для мужчин
Корпоративные
На здоровье
Образовательные
По фильмам, книгам и играм
Прикольные
Профессиональные
Психологические
Развлекательные
Разное
Шуточные
Теория вероятностей
Тест создан
28 января 2020 г.
, автор
Колосов Роман
.
Тест «Теория вероятностей» состоит из
20
вопросов, был пройден 1342 раза.
Вы можете указать свое имя:
...
Событие, которое произойдет тогда и только тогда, когда произойдет как событие А, так и событие В
Произведение
Сумма
Разность
...
Какие два события называют противоположными ?
Если они совместны и образуют полную группу событий
Если они несовместны и образуют полную группу событий
Если они не могут произойти одновременно в одном испытании
...
Большинство цветов распускается в тёплое время. Это событие
Достоверное
Невозможное
Противоположное
...
Какое событие является несовместным ?
Выстрел из ружья и промах.
Начало грозы и молнии.
Выпадение “орла” и “решке” при подбрасывание монеты.
...
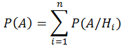
Найдите формулу полной вероятности
...
Сколько существует различных вариантов выбора 4-х кандидатур из 9-ти специалистов для поездки в 4 различных страны ?
1050
3024
5005
...
Производятся два выстрела с вероятностями попадания в цель, равными
p1=0,4; p2=0,3. Найдите математического ожидания общего числа попаданий.
0,2
1
0,7
...
Выберите верное утверждение о математическом ожидание.
Математическое ожидание суммы случайных величин равно сумме математических ожиданий слагаемых
Математическое ожидание произведения независимых случайных величин равно произведению математических ожиданий сомножителей
Оба утверждения верны
...
Дисперсия - это
Математическое ожидание квадрата отклонения случайной величины ξ от её математического ожидания
Математическое ожидание разности среднеквадратического отклонения и случайной величины ξ
Разность между математическим ожиданием случайной величины ξ и его квадратом
...
Найдите среднеквадратичное отклонение, если D(x)=25.
625
5
6
...
Выберите правильную функцию от случайных величин.
(XY)(ω)=X(ω)+Y(ω)
(X/Y)(ω)=X(ω)-Y(ω)
P(cX=cxi)=P(X=xi)
...
Найти дисперсии случайных величин
3.01
1.29
8
...
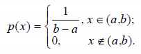
Что означает эта формула ?
Функция распределения
Функция Гаусса
Плотность равномерно распределённой случайной величины
...
Что представляет собой кривая Гаусса ?
«Ступенчатый» график
«Колоколообразную» кривую
Синусоиду
...
Что это за функция ?
Функция распределения
Плотность распределения
Функция Эйлера
...
Если M(X) = 0, D(X) = 1, то X
Нормированная случайная величина
Дискретная случайная величина
Двумерная случайная величина
...
Условным распределением составляющей Х при Y=yi называется
Совокупность условных вероятностей p(x1 / yj), ..., p(xn / yj)
Перечень возможных значений этой составляющей
Сумма условных вероятностей этой составляющей
...
Закон распределения двумерной дискретной случайной величины задан таблицей 2. Найти условный закон распределения составляющей X при условии, что составляющая Y приняла значение 0.
2
1/2
3
...
Законом распределения дискретной двумерной случайной величины (X, Y) называют
Перечень минимальных и максимальных значений чисел
Перечень вероятностей пар чисел
Перечень возможных значений этой величины, т.е (xi, yj). пар чисел и вероятностей pij = p( X = xi, Y= yj)
...
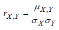
Что показывает эта формула ?
Корреляционный момент
Коэффициент корреляции
Закон распределения
Готово! Нажмите кнопку «Результат».
Результат
2
Главная
Образовательные тесты
По математике
Похожие тесты:
Теория вероятностей
ТЕСТ по теме: "ЭЛЕМЕНТЫ ТЕОРИИ ВЕРОЯТНОСТЕЙ"
Классическое определение вероятности
Комментарии