ВПР за курс 6 класса для любимого 6а

Тест создан 27 сентября 2020 г., автор Петровна.
На этой платформе мы пройдем первые 9 заданий, верное решение которых гарантирует оценку "4". Для остальных сделаем видеоразбор.
Тест «ВПР за курс 6 класса для любимого 6а» состоит из 9 вопросов, был пройден 5 раз.
...
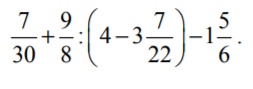
Вычислите




...
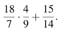
Вычислите




...
Если задуманное число умножить на два, то результат окажется на 234 больше половины задуманного числа. Найдите задуманное число.




...
Вычислите




...
На рисунке изображены багет и булка. Длина багета составляет 48 см. Определите примерную длину булки в метрах (с точностью до десятых). Считайте, что фотографии выполнены с одинакового расстояния при одном и том же увеличении.




...
На диаграмме показана средняя дневная температура в каждом месяце в городе Харбине. На вертикальной оси указана температура в градусах Цельсия, на горизонтальной — месяцы. Сколько месяцев в году средняя температура в Харбине превышает 12 °С?




...
Найдите значение выражения




...
На координатной прямой отмечены точки A, B и C. Установите соответствие между точками и их координатами.




...
Вычислите




Комментарии