Простейшие показательные уравнения

Тест создан 29 сентября 2020 г., автор Лариса Кирсанова.
В тест включены 10 простейших показательных уравнений. В каждом вопросе только один вариант ответа верный.
Тест «Простейшие показательные уравнения» состоит из 10 вопросов, был пройден 2039 раз.
...
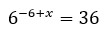
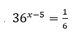
Решите уравнение




...
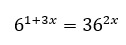
Решите уравнение




...
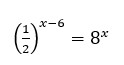
Решите уравнение




...
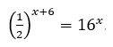
Решите уравнение




...
Решите уравнение




...
Решите уравнение




...
Решите уравнение




...
Решите уравнение




...
Решите уравнение




...
Решите уравнение