Вводная контрольная работа по алгебре 8 класс

Тест создан 3 октября 2021 г., автор Надежда Ефимова.
Вводная контрольная работа по алгебре 8 класс на начало учебного года.
Тест «Вводная контрольная работа по алгебре 8 класс» состоит из 5 вопросов, был пройден 116 раз.
...
Найдите значение выражения 15(2а +1) ─ 3 при а = -2




...
Разложите на множители




...
Упростить выражение :




...
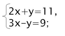
Решите систему уравнений:




...