Итоговое тестирование 7 класс (алгебра)

Тест создан 30 апреля 2012 г., автор perov.
Тест по алгебре для учеников 7 класса.
Тест «Итоговое тестирование 7 класс (алгебра)» состоит из 16 вопросов, был пройден 17578 раз.
...





...
Решите уравнение 25x^2 - 4 = 0.




...
Какой многочлен надо поставить сомножителем вместо *, чтобы получилось тождество -3а4 • * = 12а6 х -15а4 х+ 12а4 ?




...
Представьте в виде многочлена выражение (3a +2)(-4a +1).




...
Раскройте скобки: (5а – 2b)2




...
Выполните умножение: (4х3+3у )(3y -4x3 )




...
Какое из выражений нельзя преобразовать в произведение
(x - 4)(a - 3)^2 ?




...
Разложи многочлен 6m - 6n -9m^2+9mn на множители.




...
Вычислите:




...
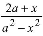
Чему равно значение выражения при a = 2, x = - 1?




...
Найдите значение выражения




...
Составьте уравнение прямой, проходящей через точку М(3; -7) параллельно прямой y= -4 х -2.




...
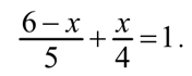
Решите уравнение




...
Моторная лодка плыла 2ч по течению реки,а затем 3ч по зеру, пройдя за все это время 40 км. Какова собственная скорость лодки,если скорость течения реки равна 2км/ч




...
Основание равнобедренного треугольника в 2 раза больше его боковой стороны; периметр треугольника равен 40 см. Найдите длину боковой стороны.




...
Решите уравнение:-3x-5=-14x+17




Комментарии